Oleh Feri Kusnandar
Keterangan umur simpan (masa kadaluarsa) produk pangan merupakan salah satu informasi yang wajib dicantumkan oleh produsen pada label kemasan produk pangan. Pencantuman informasi umur simpan menjadi sangat penting karena terkait dengan keamanan produk pangan dan untuk memberikan jaminan mutu pada saat produk sampai ke tangan konsumen. Kewajiban pencantuman masa kadaluarsa pada label pangan diatur dalam Undang-undang Pangan no. 7/1996 serta Peraturan Pemerintah No. 69/1999 tentang Label dan Iklan Pangan, dimana setiap industri pangan wajib mencantumkan tanggal kadaluarsa (expired date) pada setiap kemasan produk pangan.
Informasi umur simpan produk sangat penting bagi banyak pihak, baik produsen, konsumen, penjual, dan distributor. Konsumen tidak hanya dapat mengetahui tingkat keamanan dan kelayakan produk untuk dikonsumsi, tetapi juga dapat memberikan petunjuk terjadinya perubahan citarasa, penampakan dan kandungan gizi produk tersebut. Bagi produsen, informasi umur simpan merupakan bagian dari konsep pemasaran produk yang penting secara ekonomi dalam hal pendistribusian produk serta berkaitan dengan usaha pengembangan jenis bahan pengemas yang digunakan. Bagi penjual dan distributor informasi umur simpan sangat penting dalam hal penanganan stok barang dagangannya.
Penentuan umur simpan produk pangan dapat dilakukan dengan menyimpan produk pada kondisi penyimpanan yang sebenarnya. Cara ini menghasilkan hasil yang paling tepat, namun memerlukan waktu yang lama dan biaya yang besar. Kendala yang sering dihadapi oleh industri dalam penentuan umur simpan suatu produk adalah masalah waktu, karena bagi produsen hal ini akan mempengaruhi jadwal launching suatu produk pangan. Oleh karena itu diperlukan metode pendugaan umur simpan cepat, mudah, murah dan mendekati umur simpan yang sebenarnya.
Metode pendugaan umur simpan dapat dilakukan dengan metode Accelerated Shelf-life Testing (ASLT), yaitu dengan cara menyimpan produk pangan pada lingkungan yang menyebabkannya cepat rusak, baik pada kondisi suhu atau kelembaban ruang penyimpanan yang lebih tinggi. Data perubahan mutu selama penyimpanan diubah dalam bentuk model matematika, kemudian umur simpan ditentukan dengan cara ekstrapolasi persamaan pada kondisi penyimpanan normal. Metode akselerasi dapat dilakukan dalam waktu yang lebih singkat dengan akurasi yang baik. Metode ASLT yang sering digunakan adalah dengan model Arrhenius dan model kadar air kritis sebagaimana dijelaskan berikut ini.
Metode pendugaan umur simpan model Arrhenius
Metode ASLT model Arrhenius banyak digunakan untuk pendugaan umur simpan produk pangan yang mudah rusak oleh akibat reaksi kimia, seperti oksidasi lemak, reaksi Maillard, denaturasi protein, dan sebagainya. Secara umum, laju reaksi kimia akan semakin cepat pada suhu yang lebih tinggi yang berarti penurunan mutu produk semakin cepat terjadi. Produk pangan yang dapat ditentukan umur simpannnya dengan model Arrhenius di antaranya adalah makanan kaleng steril komersial, susu UHT, susu bubuk/formula, produk chip/snack, jus buah, mi instan, frozen meat, dan produk pangan lain yang mengandung lemak tinggi (berpotensi terjadinya oksidasi lemak) atau yang mengandung gula pereduksi dan protein (berpotensi terjadinya reaksi kecoklatan).
Karena reaksi kimia pada umumnya dipengaruhi oleh suhu, maka model Arrhenius mensimulasikan percepatan kerusakan produk pada kondisi penyimpanan suhu tinggi di atas suhu penyimpanan normal. Laju reaksi kimia yang dapat memicu kerusakan produk pangan umumnya mengikuti laju reaksi ordo 0 dan ordo 1 (persamaan 1 dan 2). Tipe kerusakan pangan yang mengikuti model reaksi ordo nol adalah degradasi enzimatis (misalnya pada buah dan sayuran segar serta beberapa pangan beku); reaksi kecoklatan non-enzimatis (misalnya pada biji-bijian kering, dan produk susu kering); dan reaksi oksidasi lemak (misalnya peningkatan ketengikan pada snack, makanan kering dan pangan beku). Sedangkan tipe kerusakan bahan pangan yang termasuk dalam rekasi ordo satu adalah (1) ketengikan (misalnya pada minyak salad dan sayuran kering); (2) pertumbuhan mikroorganisme (misal pada ikan dan daging, serta kematian mikoorganisme akibat perlakuan panas); (3) produksi off flavor oleh mikroba; (4) kerusakan vitamin dalam makanan kaleng dan makanan kering; dan (5) kehilangan mutu protein (makanan kering) (Labuza, 1982).

Konstanta laju reaksi kimia (k), baik ordo nol maupun satu, dapat dipengaruhi oleh suhu. Karena secara umum reaksi kimia lebih cepat terjadi pada suhu tinggi, maka konstanta laju reaksi kimia (k) akan semakin besar pada suhu yang lebih tinggi. Seberapa besar konstanta laju reaksi kimia dipengaruhi oleh suhu dapat dilihat dengan menggunakan model persamaan Arrhenius (persamaan 3) sebagai berikut:
Rumus (laboratory)
Model Arrhenius dilakukan dengan menyimpan produk pangan dengan kemasan akhir pada minimal tiga suhu penyimpanan ekstrim. Percobaan dengan metode Arrhenius bertujuan untuk menentukan konstanta laju reaksi (k) pada beberapa suhu penyimpanan ekstrim, kemudian dilakukan ekstrapolasi untuk menghitung konstanta laju reaksi (k) pada suhu penyimpanan yang diinginkan dengan menggunakan persamaan Arrhenius (persamaan 3). Dari persamaan tersebut dapat ditentukan nilai k (konstanta penurunan mutu) pada suhu penyimpanan umur simpan, kemudian digunakan perhitungan umur simpan sesuai dengan ordo reaksinya (persamaan 1 dan 2).
Metode pendugaan
umur simpan
model Kadar Air Kritis
Kerusakan produk pangan dapat disebabkan oleh adanya penyerapan air oleh produk selama penyimpanan. Produk pangan yang dapat mengalami kerusakan seperti ini di antaranya adalah produk kering, seperti snack, biskuit, krupuk, permen, dan sebagainya. Kerusakan produk dapat diamati dari penurunan kekerasan atau kerenyahan, dan/atau peningkatan kelengketan atau penggumpalan. Laju penyerapan air oleh produk pangan selama penyimpanan dipengaruhi oleh tekanan uap air murni pada suhu udara tertentu, permeabilitas uap air dan luasan kemasan yang digunakan, kadar air awal produk, berat kering awal produk, kadar air kritis, kadar air kesetimbangan pada RH penyimpanan, dan slope kurva isoterm sorpsi air, faktor-faktor tersebut diformulasikan oleh Labuza dan Schmidl (1985) menjadi model matematika (persamaan 4) dan digunakan sebagai model untuk menduga umur simpan. Model matematika ini dapat diterapkan khususnya untuk produk pangan kering yang memiliki kurva isoterm sorpsi air (ISA) berbentuk sigmoid.


Model untuk menduga umur simpan produk pangan yang mudah rusak karena penyerapan air adalah dengan pendekatan metode kadar air kritis. Data percobaan yang diperoleh dapat mensimulasi umur simpan produk dengan permeabilitas kemasan dan kelembaban relatif ruang penyimpanan yang berbeda.
Produk pangan yang mengandung kadar sukrosa tinggi, seperti permen, umumnya bersifat higroskopis dan mudah mengalami penurunan mutu selama penyimpanan yang disebabkan oleh terjadinya penyerapan air. Umur simpan produk seperti ini akan ditentukan oleh seberapa mudah uap air dapat bermigrasi ke dalam produk selama penyimpanan dengan menembus kemasan. Semakin besar perbedaan antara kelembaban relatif lingkungan penyimpanan dibandingkan kadar air produk pangan, maka air semakin mudah bermigrasi.
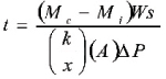
Kurva ISA sukrosa dan produk pangan yang mengandung sukrosa tinggi lebih sulit ditentukan, karena sifat higroskopis dari gula yang menyebabkan penyerapan air berlangsung terus menerus dan tidak mencapai kondisi kesetimbangan, terutama pada kelembaban relatif (RH) di atas 75% (Guo, 1997). Kurva ISA produk pangan yang mengandung gula tinggi juga tidak berbentuk sigmoid sehingga kadar air ksetimbangan dan kemiringan kurva sulit ditentukan (Adawiyah, 2006). Oleh karena itu, penentuan umur simpan produk pangan yang mengandung kadar gula tinggi tidak dapat menerapkan model persamaan (4). Pendekatan yang dapat dilakukan adalah dengan memodifikasi model persamaan (4) dengan mengganti slope kurva ISA (b) dan kadar air kesetimbangan (Me) dengan perbedaan tekanan (∆P) antara di dalam dan di luar kemasan (Labuza dan Schmidl, 1985). Hal ini didasarkan pada prinsip terjadinya migrasi uap air dari udara ke dalam produk yang disebabkan oleh perbedaan tekanan udara antara di luar kemasan dan di dalam kemasan
Model matematika tersebut dapat dilihat pada persamaan (5). Untuk menentukan ∆P diperlukan data aktivitas air (aw) produk, dengan asumsi terjadi kesetimbangan antara RH di dalam kemasan dengan aw produk.

Dr. Feri Kusnandar
Staf Pengajar Departemen Ilmu
dan Teknologi Pangan
dan Peneliti SEAFAST Center
Instititut Pertanian Bogor
Referensi
- Adawiyah,D.R. 2006. Hubungan Sorpsi Air, Suhu Transisi Gelas dan Mobilitas Air Serta Pengaruhnya Terhadap Stabilitas Produk Pada Model Pangan. Disertasi. Sekolah Pasca Sarjana IPB, Bogor.
- Guo,W.X. 1997. Influence of Relative Humidity on The Stress Relaxation of Sucrose Compact. Department of Pharmacy University of Toronto, Canada.
- Labuza,T.P. 1982. Shelf Life Dating of Foods. Food and Nutrition Press Inc., Westport, Connecticut.
- Labuza,T.P. and Schmidl,M.K. 1985. Accelerated shelf life testing of foods. Food Technology, 39 (9), 57-62, 64, 134.

